近日,beat365正版唯一官网必一康国政教授团队在软弹性体本构理论方面取得重要进展,相关工作以“A hyperelastic constitutive model for soft elastomers considering the entanglement-dependent finite extensibility” 为题发表在固体力学旗舰期刊《Journal of the Mechanics and Physics of Solids》。beat365正版唯一官网必一2024级博士研究生杨静雷为论文第一作者,论文作者还包括beat365正版唯一官网必一康国政教授、于超教授(通讯作者)、陈开卷副研究员和新加坡南洋理工大学周琨教授。

软弹性体(如天然橡胶、介电弹性体)已被广泛运用于各大工业与前沿制造领域,微观尺度上这一类材料由大量的聚合物分子链构成,得益于这些柔性聚合物分子链的熵弹性性质,材料具有高弹性的力学特征。基于上述微观解释,研究者们提出了一系列的基于物理机制的软弹性体超弹性本构模型。然而,近年来的研究表明,微观尺度上材料内部的分子链缠结会显著影响宏观上的力学性能,如材料刚性与可拉伸性,现有模型没有充分考虑缠结对分子链的影响,因此无法解释上述宏观实验结果。
本文通过引入扭曲管的概念,提出了考虑缠结的分子链有限延伸性,给出了相应的物理图像(图1),并推导得到了扭曲管中分子链的统计构象分布。进一步地,基于上述结果,本文建立了一个新的考虑分子链缠结效应的软弹性体超弹性本构模型,得益于扭曲管的概念,该模型统一地描述了缠结的弹性贡献、分子链的有限延伸性以及非仿射宏-微观尺度过渡准则。

图1 扭曲管中分子链有限延伸性的物理图像
通过有限元移植与模拟,该模型成功预测了不同加载模式下软弹性体的超弹性变形(图2),验证了模型的预测能力。

图2 硅橡胶薄膜凹陷过程中的非均匀变形预测结果
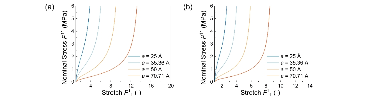
最后,基于该模型,本文讨论了缠结密度对软弹性体超弹性变形行为的影响。可以看出,随着缠结密度的降低,弹性体刚性降低,同时可拉伸性提高(图3),这一预测结果与现有实验结论一致,因此该模型解释了缠结效应对软弹性体超弹性变形影响的来源。

图3 缠结密度对软弹性体超弹性变形的影响
本研究受到了国家自然科学基金(No.12322203)的资助。
论文链接:https://doi.org/10.1016/j.jmps.2024.106000